Contact Jim on 01226 763124  or   milner44@btinternet.com
Why and how? News
Home Geometric gallery Maquettes Fractal gallery Maths gallery Figurative gallery Delivery and Installation


Completing Alhazen’s Formula

Jim Milner

Introduction

I’ve had a fascinating time over the last two winters working geometrically on problems from the history of maths. Starting with Archimedes’ algorithm for the sum of the squares and a very different contemporary Babylonian algorithm for the same sum, my journey ended up with the Alhazen (965 – 1040AD) and his formula for the sums of power series. I wrote my work up in a long article called Sums of Sums of Power Series.

Here is a summary of just two of the discoveries in Sums of Sums of Power Series, which you should refer to for full geometric and algebraic justifications of the ideas below. You may see the full article by clicking on this link - [ click here to read or download in PDF format ]

In the article, I use a new notation for such sums:


Jim Milner Completing Alhazen's formula

I hope you will soon become accustomed to it.




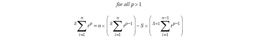
Alhazen’s Formula

Jim Milner Completing Alhazen's formula

or in terms of the new notation:

Jim Milner Completing Alhazen's formula

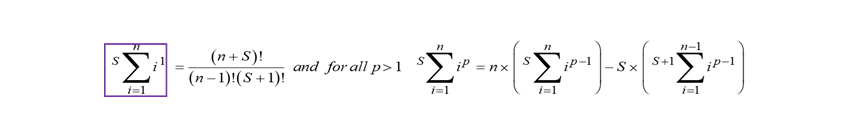
Alhazen’s formula is incomplete, in that it derives the sum of a power series for the power (p + 1) from a multiple of the sum of the power series for p minus the sum of the sums of the power series for p, but does not show how these sums of sums may themselves be derived. Here is my completed general Alhazen’s formula from Sums of Sums of Power Series:



Completed General Alhazen’s Formula

Jim Milner Completing Alhazen's formula

Alhazen’s formula is a special case of this formula for when S = 1.

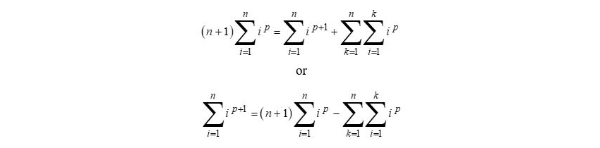
Clearly, all the sums of the sums of the powers may ultimately be derived from the sums of the sums of the integers by a recursive process :– the sums of the sums of the squares may be derived from the sums of the sums of the integers, the sums of the sums of the cubes may be derived from the sums of the sums of the squares, and so on.

On pages 2 and 3 of Sums of Sums of Power Series, I derive formulae for these sums of sums of the integers geometrically:

Jim Milner Completing Alhazen's formula

The completed Alhazen’s formula, together with formula 1 for the sums of the sums of the integers, may then produce this diagram which shows how the sum of the powers up to the fifth power may be derived:

Jim Milner Completing Alhazen's formula

The recursive completed Alhazen’s formula in conjunction with formula 1 may then be used within a suitable computer programming language to produce algebraic formulae for any of the sums of the sums of any power series. You may also be interested in two non-recursive algorithms developed for the sums of these series in Sums of Sums of Power Series - [ click here to read or download in PDF format ]






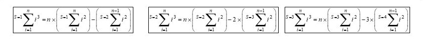
The formula below is an algebraically equivalent expression to Alhazen’s completed formula, and is simpler to prove geometrically.


Jim Milner Completing Alhazen's formula

Here are some examples of geometric proofs without words of it in Sums of Sums of Power Series:



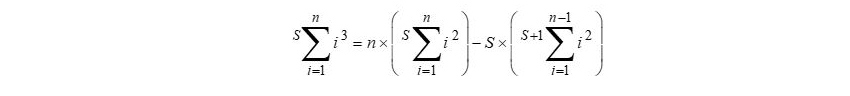
Sums of Cubes

Jim Milner Completing Alhazen's formula


Jim Milner Completing Alhazen's formula


Jim Milner Completing Alhazen's formula


Jim Milner Completing Alhazen's formula

by induction

Jim Milner Completing Alhazen's formula

Similar geometric proofs of all the sums in the diagram below are included in Sums of Sums of Power Series - [ click here to read or download in PDF format ]

Jim Milner Completing Alhazen's formula

I also used an Excel spreadsheet to check that the formulae were correct for all of the sums in the diagram below - if you would like a copy of the excel spreadsheet, please get in touch on milner44@btinternet.com and I will send it by email.

Jim Milner Completing Alhazen's formula Jim Milner Completing Alhazen's formula

Postscript

2022

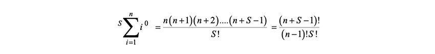
In July 2021, I found this new formula for the sums of sums of power series for p = 0:

Jim Milner Completing Alhazen's formula

And also that the general formula below is also true for p = 1:

Jim Milner Completing Alhazen's formula

Which means that the triangle of provable sums of sums of power series can be expanded to:

Jim Milner Completing Alhazen's formula

Read more at the end of this link to Sums of Sums of Power Series - [ click here to read or download in PDF format ]





© JIM MILNER 2025 • milner44@btinternet.com • 01226 763124